Approfondimenti
- Il trasformatore
- Le equazioni di Maxwell in forma differenziale (o locale)
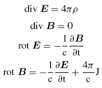
Le equazioni di Maxwell in forma differenziale (o locale)
La comprensione della formulazione matematica delle equazioni di Maxwell richiede la conoscenza di alcuni concetti di analisi matematica, quali le derivate parziali (simboleggiate con ), la divergenza (div) e il rotore (rot) di un vettore. I campi elettrico e magnetico sono espressi attraverso i vettori E (campo elettrico) e B (campo magnetico).
Nella quarta equazione compare la grandezza J, che rappresenta la densità di corrente, mentre c è la velocità della luce nel vuoto e è la densità di carica elettrica.
La mancanza di simmetria nelle equazioni di Maxwell rispetto ai campi B ed E è dovuta alla presenza di cariche elettriche e di corrente elettrica di conduzione. Nel vuoto, dove e J sono nulli, le equazioni per i due campi diventano simmetriche.