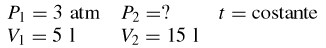
Sicuro di sapere? StudiaFacile Chimica Gli stati di aggregazione della materia Lo stato gassoso Esempi di applicazione delle leggi dei gas Lo stato gassoso Lo stato gassoso Gas ideali e gas reali Le leggi dei gas ideali Gas reali Esempi di applicazione delle leggi dei gas La teoria cinetica Esempi di applicazione delle leggi dei gas Redazione De Agostini Sapere https://www.facebook.com/Sapere.it/ https://twitter.com/sapereit De Agostini Editore https://it.wikipedia.org/wiki/De_Agostini https://www.linkedin.com/company/de-agostini/ Un massa di gas contenuta in un recipiente di 5 l, alla pressione di 3 atm, viene trasferita a temperatura costante in un recipiente di 15 l. Quale pressione il gas assume?