Il numero di ossidazione

Come è stato anticipato, il numero di ossidazione (n.o.) rappresenta la carica formale che si può attribuire a un elemento in un composto, supponendo che i legami siano di tipo ionico, in modo da assegnare gli elettroni di legame all’elemento più elettronegativo.

Il numero d’ossidazione viene stabilito in base a criteri fondati sui valori relativi di elettronegatività delle specie atomiche che entrano nella composizione delle molecole e si può calcolare tenendo conto di 7 regole (v. tab. 7.1).

  1. Gli atomi nelle sostanze allo stato elementare (cioè non legati con atomi diversi), siano esse mono-, bi-, o poliatomiche, hanno n.o. zero (per esempio, He, Ca, O2, Cl2, P4).
  2. L'ossigeno nei composti ha n.o. = −2. Fanno eccezione i perossidi (per esempio, H2O2) dove l'ossigeno ha n.o. = −1.
  3. L'idrogeno nei composti ha n.o. = +1. Fanno eccezione gli idruri metallici (per esempio, LiH, CaH2) nei quali l'idrogeno assume n.o. = −1.
  4. Il fluoro in tutti i composti ha n.o. = −1.
  5. Gli ioni degli elementi del sottogruppo I A (metalli alcalini) hanno n.o. = +1, che coincide con la loro carica effettiva (per esempio, Li+, Na+).
  6. Gli ioni degli elementi del sottogruppo II A (metalli alcalinoterrosi) hanno n.o. = +2, che coincide con la loro carica effettiva (per esempio, Mg2+, Ca2+).
  7. Il numero di ossidazione di altri elementi presenti in un composto si calcola ricordando che la somma algebrica dei n.o. di tutti gli atomi in una molecola deve essere zero, oppure, se si tratta di uno ione, deve essere uguale alla sua carica.
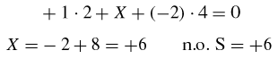
  1. Determinazione del n.o. dello zolfo nell'acido solforico, H 2 SO4. In base alle regole sopradescritte, avremo che:


    Potremo quindi scrivere: . Moltiplicando il n.o. per gli atomi di ciascun elemento e sommandoli avremo che:


    Per cui potremo scrivere:

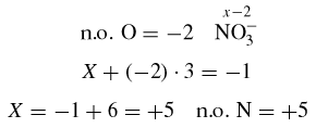
  2. Determinazione del n.o. dell'azoto nello ione nitrato, NO 3 .


    Per cui possiamo scrivere:

Tabella 7.1 NUMERI DI OSSIDAZIONE DI ALCUNI ELEMENTI
gruppo del sistema periodico elementi numero di ossidazione
1 Li, Na, K +1
2 Be, Mg, Ca, Sr, Ba +2
  B +3
3 Al +3
4 C, Si +4
  N, P −3, +3, +5
5 As, Sb −3, +3, +5
  Bi +3
  O −2(−1)
6 S −2, +4, +6
  F −1
7 Cl −1, +1, +3, +5, +7
  Br −1, +1, +5
  I −1, +1, +5, +7
  Cr +2, +3 +6
  Mn +2, +3, +4 +6, +7
elementi di transizione Fe, Co, Ni +2, +3
  Pt +2, +4
  Cu, Hg +1, +2
  Ag +1
  Au +1, +3
  Zn, Cd +2