Approfondimenti
- Valore attuale
- Significato economico dell'avviamento
Valore attuale
L'attualizzazione è una funzione della matematica finanziaria che fornisce il valore di una somma di denaro a un'epoca anteriore a quella delle sua disponibilità. In pratica, l'attualizzazione risponde alla domanda: dato un certo ammontare di denaro futuro, qual è il suo equivalente in denaro di oggi, ossia il suo valore attuale? Presupposto dell'attualizzazione è ovviamente che il denaro disponibile a una data futura ha in valore diverso da quello di una somma spendibile immediatamente.
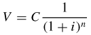
La formula più usata per il calcolo del valore attuale è la seguente:
dove V è il valore attuale, C il valore futuro disponibile alla fine dell'anno n, i il tasso di interesse annuo, n il numero di anni. L'espressione 1/(1 + i)n è detta fattore di attualizzazione al tasso i. Il confronto dei valori attuali fornisce un utile criterio per confrontare tra loro investimenti finanziari alternativi.