Il concetto di campo elettrico

Il campo elettrico è la regione di spazio in cui agiscono le forze elettriche su altre cariche eventualmente presenti. Come per il campo gravitazionale, si dice che una carica elettrica, o una distribuzione di cariche elettriche, genera attorno a sé un campo elettrico, nel senso che modifica le proprietà dello spazio circostante in modo che una qualunque altra carica posta nelle vicinanze viene sollecitata da una forza di natura elettrica.

Il campo elettrico è un campo vettoriale, perché caratterizzato da una forza, quella elettrica, ed è conservativo, perché il lavoro che si compie per passare da un punto a un altro del campo non dipende dal cammino scelto, ma solo dai punti iniziale e finale.

Il vettore campo elettrico

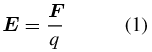
Per verificare l'esistenza del campo elettrico generato da una carica Q si introduce una carica di prova q, di intensità molto più piccola, nella regione di spazio occupata da Q (è importante sottolineare che il campo generato da Q esiste indipendentemente dalla presenza della carica di prova q). La forza esercitata da Q su q, divisa per il valore di q, è indipendente dalla carica di prova. Questa grandezza si definisce vettore campo elettrico, e si indica con E. Per definizione quindi:

rappresenta la forza che agisce su una carica unitaria; nel Sistema Internazionale si misura in newton/coulomb (N/C).

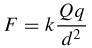
Poiché in base alla legge di Coulomb l'intensità della forza è:

operando la sostituzione di F nella (1), l'intensità del campo elettrico è data da:

dove d è la distanza tra la carica Q e il punto nel quale viene misurato il campo (con la carica q). L'intensità del campo elettrico dunque non dipende dalla carica di prova q, ma dalla distanza alla quale il campo viene misurato (v. fig. 16.1): allontanandosi dalla carica Q generatrice del campo, la sua intensità diminuisce.

Le linee di forza

Un campo elettrico può essere rappresentato graficamente attraverso le linee di forza (v. fig. 16.2): ciascuna di esse corrisponde, in ogni punto, alla traiettoria che verrebbe percorsa da una carica elettrica posta in quel punto (ricordiamo che la carica deve essere abbastanza piccola da non modificare in modo sensibile il campo preesistente). Inoltre in ogni punto di una linea di forza l'intensità del campo è rappresentata da un vettore tangente alla linea in quel punto. Le linee di forza sono orientate: il loro verso va dalla carica positiva (o dai corpi positivi) alla carica negativa (o ai corpi negativi). La rappresentazione attraverso le linee di forza è abituale in fisica per visualizzare i campi vettoriali, ma va sottolineato che non corrisponde a qualcosa di realmente esistente, bensì è una comoda astrazione che viene usata per rappresentare la variazione del campo nello spazio, ovvero per individuare direzione e verso del campo in ogni punto dello spazio.