I circuiti elettrici

Un circuito elettrico è costituito in generale da un insieme di conduttori, collegati tra loro e collegati ai poli di un generatore di tensione. Il più semplice circuito elettrico può essere costruito collegando ai poli di una pila un filo metallico. All'interno del filo metallico passa la corrente elettrica, nel verso convenzionale che va dal polo positivo al polo negativo. Se tagliamo il filo metallico in un punto e alle due estremità del filo colleghiamo una lampadina, la corrente che circola nel filo verrà spesa per accendere la lampadina. La pila fornisce alle cariche l'energia sufficiente a muoversi, ovvero a produrre una corrente elettrica, che, muovendosi lungo il filo metallico, giunge alla lampadina dove si ha la trasformazione dell'energia da elettrica a luce e calore (in una lampadina a incandescenza la corrente passa attraverso il filamento, che si scalda fino a divenire incandescente e produce calore e luce). Quando le cariche hanno ceduto la loro energia alla lampadina ritornano al polo negativo della pila a "fare rifornimento" e il processo si ripete. Il componente del circuito nel quale l'energia elettrica viene spesa (nel nostro caso la lampadina) viene detto resistore o carico.

Quando i conduttori di un circuito sono collegati tra loro in modo continuo (cioè se non vi sono interruzioni nel percorso delle cariche), il circuito si dice chiuso. Se la corrente si interrompe anche in un solo punto, il circuito è aperto. In un circuito aperto la corrente non circola.

I vari elementi di un circuito possono essere collegati in svariati modi, ma di questi i più frequenti sono il collegamento in serie e il collegamento in parallelo. Due conduttori collegati in serie sono attraversati dalla stessa corrente, in successione, mentre in due conduttori collegati in parallelo la corrente si divide in due rami, per poi riunirsi dopo aver percorso i due conduttori. In un circuito i cui elementi sono collegati in serie tutti gli elementi devono funzionare contemporaneamente, mentre in un circuito in parallelo è possibile aprire una parte di circuito, mentre la restante parte continua a funzionare. In un circuito i cui elementi sono collegati in serie, se brucia un elemento del circuito questo si apre e non circola più corrente; per questo motivo nei circuiti domestici i collegamenti sono in parallelo.

La resistenza e le leggi di Ohm

Il valore dell'intensità della corrente in presenza di una certa differenza di potenziale dipende dal mezzo entro cui la corrente scorre. Questo significa che la relazione tra differenza di potenziale e corrente circolante non è uguale per tutti i conduttori, ma varia da conduttore a conduttore.

Per i conduttori metallici e per le soluzioni acquose di elettroliti, cioè di acidi, basi e sali, il fisico tedesco Georg Simon Ohm (1789-1854) ricavò sperimentalmente due leggi, dette prima e seconda legge di Ohm.

La prima legge di Ohm stabilisce che, a temperatura costante, la differenza di potenziale (V) applicata agli estremi di un conduttore è direttamente proporzionale all'intensità della corrente (I) che lo attraversa:

dove la costante di proporzionalità R è detta resistenza elettrica e varia da conduttore a conduttore. La resistenza elettrica è connessa alla difficoltà che la corrente incontra quando circola all'interno di un conduttore (tale difficoltà dipende dalla natura del conduttore e si manifesta attraverso la parziale dissipazione della corrente elettrica come calore, per effetto Joule ). Quanto più R è grande, tanto minore è quindi la corrente che attraversa il conduttore per una data differenza di potenziale: ciò significa che, per ottenere una data corrente, in conduttori con resistenze maggiori dovremo applicare differenze di potenziale maggiori (v. fig. 17.1).

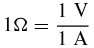
L'unità di misura della resistenza elettrica nel Sistema Internazionale è l'ohm, (simbolo ). Si dice che un conduttore presenta una resistenza di 1 ohm se, sottoposto alla tensione di 1 volt, è percorso da una corrente di 1 ampere:

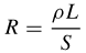
La seconda legge di Ohm stabilisce che se a parità di materiale si fanno variare la lunghezza L e la sezione S del conduttore, la resistenza R del conduttore è proporzionale al rapporto L/S:

dove la costante di proporzionalità , che dipende dal materiale con cui è fatto il conduttore, prende il nome di resistività e indica l'attitudine di un materiale a condurre la corrente elettrica, riferita a un campione di sezione e di lunghezza unitari.

Nel Sistema Internazionale la resistività si esprime in ohm per metro (m), ma, poiché normalmente la sezione di un conduttore si misura in mm2 e la sua lunghezza in m, per comodità di calcolo si preferisce esprimerla in mm2/m.

Le due leggi di Ohm non valgono soltanto per i conduttori ma, sia pure con qualche approssimazione, anche per gli isolanti. Dal valore della resistività di un materiale si ricava la sua capacità di condurre elettricità: così, per un buon conduttore i valori di resistività vanno da 10-8 a 10-5 m, mentre per un buon isolante devono essere tra a 1011 e 1017 m; certe sostanze con caratteristiche intermedie, i semiconduttori, hanno valori intermedi di resistività. La resistività dei conduttori cresce con la temperatura secondo una legge lineare. A temperature prossime allo zero assoluto (-273 °C = 0 K) la resistività assume in genere valori molto bassi, ma per alcuni materiali, detti superconduttori, la resistività a temperature molto basse si arresta bruscamente.

Nella tabella 17.1 sono riportati i valori della resistività per alcuni materiali conduttori a temperatura ambiente.

La potenza elettrica

In un circuito elettrico viene spesa energia elettrica, prodotta da un generatore, per far funzionare un dispositivo: per esempio, una lampadina. L'energia spesa è energia potenziale elettrica, trasportata dalle cariche, che viene trasformata in altre forme di energia (calore e luce nel caso della lampadina).

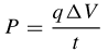
La quantità di energia spesa nell'unità di tempo è la potenza elettrica (in meccanica la potenza è data dal prodotto del lavoro compiuto per il tempo impiegato a compierlo).

Nel caso di un campo elettrico E, il lavoro delle forze elettriche per trasferire la carica q dall'inizio alla fine di un conduttore di lunghezza s, tra i cui estremi esiste una differenza di potenziale V, è dato da:

quindi la potenza elettrica P è dato da:

e poichè q/t è l'intensità di corrente, I, si ha:

Quindi, un circuito in cui circola una corrente di intensità I e ai cui estremi viene applicata una differenza di potenziale V consuma una potenza P = VI.

L'unità di misura della potenza è il watt (simbolo W) pari a 1 joule al secondo. Una lampadina che consuma 100 W, consuma 100 J in 1 s. Ma per dare un'indicazione completa del consumo, gli apparecchi elettrici devono fornire anche il valore dell'intensità della corrente alla quale il dispositivo funziona. In un circuito alimentato da una tensione di 220 V (come nei circuiti domestici), una lampadina da 100 W è percorsa da una corrente di 0,45 A. Dalla relazione P = VI si ricava che 1 W = 1 V . 1 A, dunque un dispositivo elettrico assorbe una potenza di 1 W se in esso circola una corrente di 1 A quando ai suoi estremi è applicata una differenza di potenziale di 1 V. Nel caso della lampadina da 100 W, si ha quindi:

Poiché il watt è una misura relativamente bassa (una lampadina consuma in media 60 W, un aspirapolvere domestico 800 W), in genere si usano dei multipli di questa grandezza, come il kilowatt, dove 1 kW= 1000 W (per valutare i consumi negli impianti domestici si usano i kilowattora, kWh, che misurano la potenza consumata dal circuito in 1 ora), oppure i megawatt (1 MW= 1.000.000 W, l'ordine di grandezza della potenza prodotta in una centrale elettrica), o i gigawatt (1 GW = 1 miliardo di watt).

La forza elettromotrice (f.e.m.)

La forza elettromotrice, comunemente indicata con f.e.m., è la differenza di potenziale massima che un generatore elettrico può fornire. La f.e.m. è un valore limite, che viene raggiunto soltanto in un circuito aperto, in cui la corrente che circola è uguale a zero. La f.e.m. e la differenza di potenziale (V) che si misura ai capi del generatore non sono la stessa cosa: infatti il generatore, come qualsiasi altro apparecchio elettrico che venga inserito in un circuito, ha una propria resistenza interna R, che modifica le caratteristiche del circuito, facendo sì che una parte della tensione prodotta venga assorbita dal generatore stesso.

Quindi la tensione V che rimane disponibile per mantenere la corrente I nel circuito è minore della f.e.m. di una quantità RI:

In un circuito chiuso, la differenza di potenziale e la f.e.m. diventano uguali solo nel caso ideale in cui R = 0, che nella pratica è però impossibile da realizzare (spesso, tuttavia, la resistenza interna del generatore è molto minore della resistenza degli altri elementi del circuito e può venire trascurata).

Resistori in serie e in parallelo

Si chiama resistore un conduttore che segue la prima legge di Ohm (V = RI). Poiché ogni resistore è caratterizzato da un determinato valore di resistenza, i resistori vengono spesso chiamati impropriamente "resistenze". I resistori sono componenti fondamentali dei circuiti elettrici e, come gli altri elementi del circuito, possono venire collegati in serie o in parallelo (v. fig. 17.2).

In un circuito con più resistori collegati in serie (disposti l'uno di seguito all'altro) l'intensità della corrente è la stessa in ogni punto del circuito, mentre la differenza di potenziale del circuito è pari alla somma delle differenze di potenziale ai lati dei resistori; per un circuito composto da n resistori (e percorso dalla corrente I) la differenza di potenziale, per la prima legge di Ohm, sarà data da:

La resistenza complessiva del circuito costituito da più resistori collegati in serie è dunque data dalla somma delle resistenze dei resistori del circuito.

In un circuito i cui resistori sono collegati in parallelo, le loro prime estremità sono collegate tra loro e a un nodo del circuito, le seconde estremità sono collegate tra loro e a un secondo nodo del circuito; pertanto ciascun resistore è autonomo dagli altri. In questo caso l'intensità della corrente totale che circola nel circuito (I) è data dalla somma delle intensità di corrente che circolano nei rami del circuito, mentre la differenza di potenziale in ogni punto è la stessa che vi è ai poli del generatore (V). Quindi l'intensità della corrente che circola in un circuito costituito da n resistori collegati in parallelo è data da:

Nel caso di più resistori collegati in parallelo l'inverso della loro resistenza complessiva è uguale alla somma degli inversi delle resistenze dei singoli resistori.

Dispositivi di sicurezza e di misurazione

Nei circuiti domestici o negli apparecchi elettrici di uso comune vengono in genere inseriti dei dispositivi di sicurezza che impediscono che nel circuito si formino sovraccarichi di corrente. Per esempio i fusibili, molto comuni, sono dei piccoli tratti di metallo che interrompono il circuito se l'intensità della corrente supera determinati valori.

I circuiti elettrici sono sempre dotati di interruttori, per aprire o chiudere il circuito in casi particolari, o di interruttori di sicurezza che hanno lo stesso ruolo dei fusibili, ovvero aprono il circuito interrompendo il passaggio di corrente se questa supera valori di sicurezza. Analogamente, il salvavita, che rileva anche piccolissime variazioni della corrente, interrompe il circuito ogni volta che interviene una variazione nell'intensità della corrente, dovuta per esempio a un cortocircuito o a un sovraccarico. In un impianto domestico si può avere un cortocircuito quando si forma un collegamento accidentale tra due punti con una determinata differenza di potenziale con una resistenza molto più piccola del normale. Le correnti che si stabiliscono nel circuito elettrico in presenza di un cortocircuito tendono ad assumere valori molto maggiori di quelli in base ai quali il circuito è stato dimensionato. Poiché la quantità di calore cresce con il quadrato della corrente che vi circola, la temperatura dei componenti interessati assume rapidamente valori che possono compromettere l'integrità dei materiali isolanti e provocare la fusione dei conduttori.

Altri dispositivi che intervengono sulla corrente elettrica sono i diodi e i transistor .

Per misurare l'intensità della corrente in un circuito si usa uno strumento chiamato amperometro, mentre per misurare la differenza di potenziale tra due punti di un circuito si usa un voltmetro. Naturalmente, per misurare l'intensità di corrente occorre che l'amperometro alteri il meno possibile la corrente che fluisce nel circuito, quindi che abbia una resistenza molto bassa. Analogamente, perché un voltmetro alteri il meno possibile la potenza del circuito di cui deve misurare la differenza di potenziale, occorre che la sua resistenza sia relativamente alta.

Nella tabella 17.2 sono riportati i principali simboli grafici utilizzati negli schemi elettrici.

Resistività di alcuni conduttori alla temperatura di 20 °C
MATERIALE CONDUTTORE RESISTIVITÀ (Ωmm2/m)
argento 0,0164
rame elettrolitico 0,0176
oro 0,023
alluminio 0,028
tungsteno 0,055
ferro 0,1 ÷ 0,15
costantana 0,5
carbone 20 ÷ 100
Simboli grafici prescritti dalle norme CEI per gli schemi elettrici
DENOMINAZIONE SIMBOLO
corrente continua
corrente sinusoidale raddrizzata
corrente alternata sinusoidale
conduttori non connessi elettricamente
conduttori connessi elettricamente
collegamento a terra
resistore
interruttore
fusibile
generatore
pila o accumulatore
voltmetro
amperometro
lampada elettrica
diodo a semiconduttore
transistor NPN
transistor PNP