Approfondimenti

  • La velocità angolare

La velocità angolare

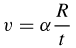
Quando un punto P si muove di moto circolare uniforme con velocità v, ciò significa che esso percorre archi uguali di circonferenza in tempi uguali; in altre parole, si mantiene costantementemente uguale a v il rapporto tra la lunghezza l dell'arco e il tempo t impiegato a percorrerlo:

Introducendo al posto dell'arco l la misura in radianti (v. Glossario) del corrispondente angolo sotteso al centro della circonferenza, si ha:

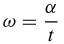
Sostituendo l = · R nella (1), l'espressione della velocità assume la forma:

Ponendo uguale a ω il rapporto α/t avremo:

dove:

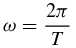
viene detta velocità angolare e rappresenta il rapporto tra l'angolo percorso (misurato in radianti) e il tempo impiegato a percorrerlo. Per definire l'esatto valore di ω si deve considerare il caso particolare in cui l'arco coincida con l'intera circonferenza; α, allora, rappresenta l'angolo giro 2π radianti e t il periodo del moto T:

La velocità angolare viene espressa in radianti al secondo (rad/s) e ha la dimensione dell'inverso di un tempo [T]−1, essendo il radiante un'unità adimensionata (in pratica, un numero puro).

La velocità angolare ω ha natura vettoriale; il vettore ω ha intensità 2π/T, direzione uguale a quella dell'asse di rotazione (la retta perpendicolare al piano della circonferenza traiettoria, passante per il centro) e verso rivolto in alto rispetto al piano della circonferenza se il punto P ruota in senso antiorario (v. fig).