Il moto circolare uniforme

Il caso più semplice di movimento curvilineo è il moto circolare uniforme, in cui un punto P si muove con velocità costante su una traiettoria data da una circonferenza di raggio R e centro O. In questo caso, l'intervallo di tempo T, impiegato dal punto P per compiere un giro completo sulla circonferenza, viene chiamato periodo del moto. Se nell'unità di tempo (1 secondo), il punto P compie f giri di circonferenza, il periodo impiegato per ogni singolo giro sarà pari a 1/f secondi; il numero f è detto frequenza del moto e si misura in giri al secondo (giri/s) (l'unità di misura della frequenza nel Sistema Internazionale è l'hertz, simbolo Hz, dove 1 Hz = 1 s-1). Il periodo e la frequenza in un moto circolare uniforme sono legati dalla relazione:

La velocità nel moto circolare uniforme

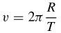
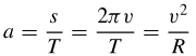
Noto il periodo T di un moto circolare uniforme, la sua velocità è facilmente deducibile ricordando che, per definizione, il punto P compie, in un intervallo di tempo pari a un periodo, esattamente un giro di circonferenza, coprendo cioè uno spazio pari a 2R. La relazione tra spazio percorso e tempo impiegato porta quindi a un valore costante dato da:

Oppure, sostituendo al periodo T la frequenza f:

Stabilito il valore dell'intensità, la velocità come grandezza vettoriale risulta pienamente definita assegnandole come direzione quella della tangente alla circonferenza nel punto P e come verso quello del senso del moto (v. fig. 4.1). La velocità nel moto circolare uniforme può anche essere espressa in termini di velocità angolare , che rappresenta lo spostamento dell'angolo a seguito del moto del punto P sulla circonferenza. La relazione tra la velocità angolare e la velocità del punto P è data da:

L'accelerazione nel moto circolare uniforme

Nel moto circolare uniforme, mentre il modulo del vettore velocità rimane costante, la sua direzione varia continuamente, poiché, al muoversi del punto lungo la circonferenza, cambia continuamente la posizione della tangente alla curva stessa. È quindi possibile esprimere questa variazione introducendo un vettore accelerazione. In questo caso la componente tangenziale dell'accelerazione è nulla, mentre si può determinare la componente centripeta. Per il calcolo dell'accelerazione, può essere utile ricorrere a un metodo grafico, illustrato a partire dalla figura 4.2; su una circonferenza di raggio R, sono visualizzati i vettori velocità v1, v2, v3 e v4, relativi alle diverse posizioni P1, P2, P3 e P4 del punto P in quattro istanti di tempo t1, t2, t3 e t4. Si immagini ora di trasportare tutti i vettori velocità parallelamente a se stessi fino a far coincidere le loro origini in un unico punto (v. fig. 4.2 B); le loro opposte estremità disegneranno quindi una circonferenza di raggio pari al modulo v della velocità (questa circonferenza non coincide con l'originaria traiettoria del moto). La freccia del vettore velocità si muove su questa nuova circonferenza in modo tale da compiere un intero giro in un periodo T pari a quello del moto di P. Un intero giro della nuova circonferenza equivale così a uno spazio:

(essendo il modulo di v uguale al raggio).

Applicando ora l'usuale relazione tra spazio e tempo in un moto circolare uniforme, si ottiene la velocità del vettore velocità di P, cioè il valore della sua accelerazione, a:

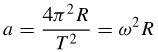
Sostituendo alla velocità il suo valore v = (2R)/T, si ottiene:

Il vettore accelerazione (o velocità della velocità) avrà poi, sempre in base a quanto detto per i moti circolari uniformi, direzione tangente alla curva traiettoria delle velocità, cioè direzione perpendicolare al raggio della circonferenza costruita con i vettori velocità e, quindi, al vettore velocità v. Ma, tornando alla circonferenza originaria (v. fig. 4.2 A), v ha direzione perpendicolare al raggio R, e quindi il vettore di modulo a avrà la direzione della perpendicolare alla perpendicolare al raggio, cioè la direzione del raggio stesso.

Il verso di a, come visualizzato nella figura 4.3, punterà al centro della circonferenza; per questo motivo, l'accelerazione così costruita viene chiamata centripeta.