L'energia potenziale

L'energia potenziale è un particolare tipo di energia dovuta all'azione di una forza. Un corpo fermo può essere spostato dalla sua posizione originaria grazie all'azione di una forza che agisce su di esso, la quale compie un lavoro. Quindi il corpo possiede una quantità di energia, dovuta al fatto che può compiere un lavoro. Se per esempio un corpo di massa m è fermo a una altezza h1, sotto l'azione della forza di gravità, e viene lasciato cadere fino all'altezza h2, la forza di gravità compie un lavoro: il corpo ha in sé una forma di energia immagazzinata, detta energia potenziale gravitazionale, la cui variazione rappresenta il lavoro compiuto dalla forza gravitazionale per spostarlo da una posizione iniziale a una posizione finale:

Si definisce energia potenziale gravitazionale la grandezza:

posseduta da un corpo di massa m che si trova a un'altezza h dal suolo.

La forza gravitazionale ha un'interessante proprietà: il lavoro da essa compiuto per portare un corpo da una quota più alta a una più bassa non dipende dal cammino percorso, ma soltanto dai punti iniziale e finale; una forza per la quale il lavoro non dipende dal particolare percorso seguito, ma solo dai suoi estremi, è detta forza conservativa. Il lavoro da compiere per sollevare un corpo avrà segno negativo, perché è fatto contro la forza gravitazionale (diretta verso il basso), e l'energia potenziale del corpo aumenta; quando il corpo cade, il lavoro delle forze del campo gravitazionale è positivo e la sua energia potenziale diminuisce.

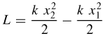
Analogamente a quanto fatto per la forza gravitazionale, si può definire l'energia potenziale elastica, dovuta alla forza elastica, per esempio di una molla che, compressa in un tratto qualunque, è in grado di compiere un lavoro e ritornare alla sua posizione originaria. Poiché il lavoro da compiere su una molla contro le forze elastiche per comprimerla dal punto x1 al punto x2 è dato da:

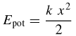
si definisce energia potenziale elastica la grandezza:

la cui differenza, analogamente a quanto detto per la forza di gravità, è pari e opposta al lavoro da compiere sulle forze elastiche che agiscono sul corpo. L'energia potenziale elastica di una molla può essere utilizzata per muovere altri corpi, come succede per esempio negli orologi a ricarica. Anche la forza elastica è una forza conservativa.

Dall'energia potenziale all'energia cinetica

Un corpo fermo che risente di una forza, come una massa posta a una certa quota, possiede una certa energia potenziale, dovuta alla sua posizione. La sua energia cinetica però è nulla, perché il corpo è fermo. Quando il corpo viene messo in moto, per esempio fatto cadere, la sua energia potenziale diminuisce a favore della sua energia cinetica, che aumenta. Consideriamo uno sciatore che si trova all'inizio di una pista, all'estremità di un pendio. Quando si mette in movimento e inizia la discesa, lo sciatore perde quota e di conseguenza diminuisce la sua energia potenziale, che dipende dalla quota, ma per contro, man mano che aumenta la sua velocità, aumenta la sua energia cinetica. L'energia potenziale dello sciatore si trasforma in energia cinetica. In fondo alla discesa, l'energia potenziale sarà stata tutta trasformata in energia cinetica. Gli inevitabili attriti prodotti dalla neve e dalla resistenza dell'aria sullo sciatore sottraggono energia, ma il principio di conservazione dell'energia resta valido, perché l'energia meccanica persa (data dalla somma di energia cinetica ed energia potenziale) viene in realtà convertita in calore (energia termica).