Il secondo principio della termodinamica

Secondo il primo principio della termodinamica non esiste limitazione teorica al passaggio di calore da un corpo più freddo a uno più caldo, poiché anche questa eventualità soddisfa il principio di conservazione dell'energia. Si può dimostrare questa affermazione con un semplice esempio: se si pone un cubetto di acciaio freddo in un bicchiere di acqua calda, sperimentalmente si osserva che l'acciaio si scalda e l'acqua si raffredda. Per il primo principio della termodinamica, infatti, l'acqua cede parte della sua energia interna all'acciaio, che si riscalda. Sempre per il primo principio, però, poteva verificarsi teoricamente anche che l'acqua si riscaldasse ulteriormente, aumentando la sua energia interna, e l'acciaio si raffreddasse ulteriormente, diminuendo la sua energia interna della medesima quantità, poiché anche questa seconda possibilità rispetta il principio di conservazione dell'energia. Questa osservazione ha aperto la strada al secondo principio della termodinamica, che afferma, nella sua forma più semplice, dovuta al fisico tedesco R. Clausius (1822-1888), che il calore non può passare spontaneamente da un corpo più freddo a uno più caldo.

Il secondo principio ha una grande rilevanza per le macchine termiche, che convertono calore in lavoro; nella formulazione che si deve a lord Kelvin (che, come vedremo poco oltre è equivalente a quella di Clausius), stabilisce che, mentre il lavoro può sempre e integralmente essere convertito in calore, ciò non avviene per il passaggio inverso, ovvero è impossibile realizzare una trasformazione il cui unico risultato sia quello di assorbire calore da una sorgente e trasformarlo integralmente in lavoro. Il secondo principio della termodinamica pone, in sostanza, le limitazioni alle quali è soggetta la trasformazione di calore in lavoro.

Per dimostrare l'uguaglianza tra le due formulazioni (di Clausius e di Kelvin) del secondo principio bisogna procedere per assurdo, ipotizzando cioè che una delle due sia falsa e dimostrare che risulta falsa anche la seconda. Se, per esempio, si assume che il postulato di Kelvin sia falso, sarebbe possibile, utilizzando il calore fornito da una sorgente, ottenere come unico risultato lavoro. Se, per esempio, la sorgente si trovasse a temperatura T1 e il lavoro prodotto su un corpo, a temperatura iniziale T2 >T1, venisse trasformato in calore, questo andrebbe ad aumentare la temperatura del corpo e come risultato si avrebbe il passaggio di calore da un corpo a temperatura minore a uno a temperatura maggiore, in contraddizione con quanto afferma l'enunciato di Clausius del secondo principio.

Viceversa, se si suppone falso l'enunciato di Clausius, si teorizza la possibilità di operare una trasformazione che abbia come risultato il passaggio di calore da un corpo a temperatura minore T1 a uno a temperatura maggiore T2: quindi sarebbe possibile realizzare una macchina termica che utilizzasse il calore della sorgente a temperatura T2 e ne cedesse una parte alla sorgente a temperatura minore, producendo lavoro: l'unico risultato sarebbe la trasformazione di calore in lavoro, a spese della sorgente a temperatura minore, in contraddizione con l'enunciato di Kelvin.

In definitiva, il secondo principio della termodinamica sostiene che una macchina termica, per operare, richiede almeno due scambi di calore con due sorgenti a diversa temperatura, con cessione di calore alla più fredda e assorbimento di calore dalla più calda. Questo perché, nelle trasformazioni cicliche tipiche delle macchine termiche (che richiedono che le condizioni finali coincidano con quelle iniziali), non tutto il calore preso da un'unica sorgente può essere trasformato completamente in lavoro: una parte del calore che non si trasforma in lavoro (e che non va ad aumentare l'energia interna del sistema) deve venire ceduta a un'altra sorgente - per esempio, all'ambiente circostante - e in definitiva viene persa.

Il rendimento di una macchina termica

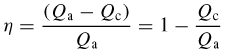
Si definisce rendimento di una macchina termica il rapporto tra il lavoro L compiuto dalla macchina e il calore Qa assorbito:

Poiché il lavoro in una macchina termica è L = Qa Qc, si può scrivere il rendimento come:

Il rendimento quindi rappresenta la frazione del calore fornito alla macchina effettivamente utilizzabile per produrre lavoro. Il secondo principio della termodinamica implica che il rendimento di una macchina termica sia sempre inferiore a 1.

Il ciclo di Carnot

Il ciclo di Carnot è un particolare tipo di ciclo termodinamico, studiato dal fisico francese S.N. Carnot (1796-1832), che rappresenta il ciclo ideale di trasformazioni termodinamiche seguito da un qualsiasi motore termico (per esempio, il motore di un'automobile o un motore a vapore). Il ciclo di Carnot consente di determinare il rendimento massimo raggiungibile da un motore termico. Si svolge in quattro fasi distinte, rappresentabili sul piano p,V attraverso due curve isoterme e due curve adiabatiche, attraverso cui il sistema torna alla posizione di partenza (v. fig. 14.3). Nella prima fase (da 1 a 2) di espansione isoterma (a temperatura costante) il sistema (per esempio, un gas) si espande e assorbe una quantità di calore Q1 da una sorgente a temperatura infinita (cioè tale che la sua temperatura non vari durante il processo), mentre la temperatura rimane costante. Nella seconda fase, di espansione adiabatica (da 2 a 3), cioè senza scambi di calore con l'esterno, il sistema si espande senza scambiare calore, si raffredda e la sua temperatura passa da T1 a T2, dove T2 < T1. La terza fase (da 3 a 4) rappresenta una compressione isoterma, nella quale il sistema viene compresso a contatto termico con un pozzo di calore (una sorgente termica in grado di assorbire il calore senza variazioni di temperatura), alla temperatura costante T2; durante questa fase il sistema cede una quantità di calore Q2. Nella quarta fase (da 4 a 1) di compressione adiabatica, il sistema viene compresso senza che avvengano scambi di calore con l'ambiente circostante, la sua temperatura aumenta e ritorna al valore iniziale T1. Il lavoro compiuto durante il ciclo è pari alla differenza tra il calore assorbito e il calore ceduto, che nel nostro caso è dato da:

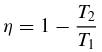
Il rendimento, definito come il rapporto tra il lavoro erogato e il calore assorbito, può essere espresso dalla formula:

dove T1 è la temperatura della sorgente che fornisce calore e T2 è la temperatura della sorgente a cui il calore viene ceduto. Il rendimento è tanto più alto quanto maggiore risulta la temperatura T1 e quanto minore risulta la temperatura T2, e in ogni caso è sempre inferiore all'unità poiché non è possibile ottenere più energia di quanta ne viene immessa nel ciclo. Il rendimento in un ciclo di Carnot dipende però solo dal rapporto tra le due temperature e non dalle caratteristiche del fluido utilizzato: è sufficiente mantenere inalterato tale rapporto, cambiando il sistema (per esempio, scambiando un gas perfetto con un gas reale, o con un fluido qualsiasi), e il rendimento resta inalterato. Quanto è maggiore la differenza di temperatura, tanto più alto è il rendimento.

Nel ciclo di Carnot è possibile invertire il senso di percorrenza del ciclo, assorbendo calore dalla sorgente fredda e cedendolo alla sorgente calda. In questo modo il ciclo assorbe lavoro invece di erogarlo: è ciò che avviene in un frigorifero domestico, nel quale il motore assorbe energia elettrica per sottrarre calore dall'interno del frigorifero e trasferirlo all'ambiente esterno.