Le proprietà dei fluidi
Un fluido si può definire come un sistema facilmente deformabile, che perciò non ha una forma propria ma assume quella del recipiente che lo contiene. La materia si presenta, normalmente, in tre stati di aggregazione: quello solido, quello liquido e quello gassoso; i solidi sono caratterizzati da un volume e da una forma definiti, i liquidi possiedono un volume proprio, ma non una forma propria, mentre i gas non possiedono né forma né volume propri. Liquidi e gas appartengono collettivamente alla categoria dei fluidi, con la differenza che i liquidi, rispetto ai gas, sono caratterizzati da assai più intense forze di coesione tra le molecole costituenti.
Densità
Le molecole dei liquidi sono in contatto reciproco, anche se possono scorrere le une sulle altre, mentre le molecole dei gas sono separate tra loro. Per questo i liquidi hanno in genere densità maggiore rispetto ai gas (la densità, , è definita come il rapporto tra la massa e il volume del fluido).
Viscosità
La grandezza fisica che misura la resistenza che le particelle di un fluido incontrano nello scorrere le une sulle altre è la viscosità, che può essere considerata come l'attrito interno delle molecole del fluido. La viscosità si manifesta anche quando un fluido scorre su una superficie solida, o un solido si muove all'interno di un fluido, ed è maggiore per i liquidi che per i gas. La viscosità dipende dalla temperatura: nei gas aumenta con la temperatura, poiché aumenta il moto termico tra le particelle del gas, mentre nei liquidi temperatura e viscosità sono inversamente proporzionali, perché aumentando la temperatura diminuisce la coesione tra le molecole. La viscosità dipende dalla velocità del fluido in moto e può essere descritta da una legge dovuta a Newton. Si consideri un fluido contenuto in un recipiente, sottoposto a una forza orizzontale che provoca lo scorrimento di uno strato su quello sottostante: se v è la differenza di velocità dei due strati e
x la loro distanza, la forza, F, che si oppone allo scorrimento, detta resistenza viscosa, è data da:
dove A è la superficie di contatto e un fattore di proporzionalità detto coefficiente di viscosità, diverso da un fluido all'altro.
Nel Sistema Internazionale il coefficiente di viscosità si misura in Ns/m2, ma è più usata l'unità detta poise (simbolo P), dove 1 P = 0,1 Ns/m2. L'unità del Sistema Internazionale dunque è il decapoise (daP), dove 1 daP = 1 Ns/m2. I fluidi che seguono perfettamente la legge di Newton, data dalla formula sopracitata, sono detti newtoniani (acqua, glicerina, alcol, mercurio ecc.), mentre in alcuni liquidi si osserva un comportamento differente (per esempio, la dipendenza dal tempo della viscosità). La viscosità si misura con strumenti detti viscosimetri, che sfruttano lo scorrimento dei fluidi in tubi capillari di diametro molto piccolo, o il moto di caduta di sferette di massa e diametro noti in recipienti che contengono la sostanza in esame.
Pressione
Nel caso dei fluidi il concetto dinamico di forza non è più sufficiente. Applicando una forza su un punto di un fluido, diversamente da quanto accade per un corpo solido, le molecole del fluido scorrono le une sulle altre, ma il fluido nella sua totalità non subisce un'accelerazione. Per ottenere lo stesso risultato dinamico di una forza in un fluido è necessario che la forza venga distribuita su tutti i punti della superficie del fluido: per esempio, si può muovere una massa d'acqua spingendola con l'intera superficie delle mani. A questo scopo si introduce una nuova grandezza, la pressione, p, definita come il rapporto tra il valore della forza F, perpendicolare alla superficie S, e la superficie stessa:
La pressione ha le dimensioni di una forza per unità di superficie e la sua unità di misura nel Sistema Internazionale è il pascal (simbolo Pa), dove 1 Pa = 1 N/1 m2.
Si può dimostrare che in un fluido la pressione si trasmette uniformemente a tutti i suoi punti. Questa scoperta si deve allo scienziato francese Blaise Pascal (1623-1662), in onore del quale è stata denominata l'unità di misura della pressione. Si consideri uno strumento costituito da un cilindro che contiene un fluido, chiuso da uno stantuffo, nel quale venga inserito un palloncino riempito d'aria: esercitando una pressione sullo stantuffo, il palloncino rimpicciolisce, mantenendo però inalterata la sua forma. Questo significa che la pressione esercitata sul fluido attraverso lo stantuffo ha agito su ogni punto della superficie del palloncino, perpendicolarmente alla superficie stessa. Sulla base di questo risultato la legge di Pascal stabilisce che la pressione esercitata su una superficie qualsiasi di fluido si trasmette con la stessa intensità a tutta la massa del fluido.
Comprimibilità dei fluidi
Si definisce comprimibilità di un fluido la sua capacità di diminuire di volume quando viene sottoposto a una pressione esterna. Se un fluido occupa un volume V a una data pressione p e viene sottoposto a una compressione p, il suo volume subirà una diminuzione
V data da:
dove k rappresenta il coefficiente di comprimibilità. Il coefficiente di comprimibilità dipende dalla pressione e per i liquidi è in genere molto piccolo, mentre è assai più elevato per i gas. I liquidi sono quindi quasi incomprimibili, mentre i gas sono facilmente comprimibili.
Tensione superficiale
La tensione superficiale è la forza di coesione che si esercita fra le molecole superficiali di un liquido. È dovuta al fatto che, mentre su una molecola interna al liquido le forze esercitate dalle altre molecole sono simmetriche in tutte le direzioni, su quelle in superficie agiscono solo forze laterali e verso l'interno del liquido. Pertanto, sulle molecole che stanno sulla superficie agisce una forza risultante non nulla diretta verso il basso, appunto la tensione superficiale, che fa sì che la superficie del liquido, in una certa misura, si comporti come una membrana elastica. La formazione delle gocce e delle bolle è dovuta alla tensione superficiale. La tensione superficiale tende a rendere minima la superficie di una goccia e per questo motivo le bolle di sapone sono sferiche (infatti, a parità di volume, la sfera è il solido dotato di minor superficie). Le bolle possono formarsi anche nell'acqua, ma, poiché l'acqua pura ha una tensione superficiale molto maggiore di quella dell'acqua saponata, le bolle avrebbero dimensioni così piccole da non essere osservabili. La tensione superficiale diminuisce all'aumento della temperatura.
Uno degli effetti della tensione superficiale è la formazione di menischi sulla superficie libera di un liquido contenuto in un recipiente: la superficie del liquido, a causa della tensione superficiale, non si presenta perfettamente piana, ma tende ad assumere una caratteristica forma curva (detta menisco), con concavità (menisco concavo) o convessità (menisco convesso) rivolta verso l'alto, a seconda che il liquido bagni o non bagni le pareti del contenitore, a seconda cioè che prevalgano le forze di adesione tra le molecole del liquido e del recipiente o le forze di coesione tra le molecole del liquido.
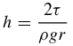
Se il liquido è contenuto in un tubo molto sottile, di diametro interno inferiore a 0,1 mm, detto capillare, le forze di tensione superficiale sono molto evidenti. Nei capillari, infatti, la superficie libera del liquido è talmente piccola che il fenomeno del menisco interessa praticamente tutta la superficie. Il capillare presenta inoltre un'altra caratteristica: se si immerge un capillare in un liquido contenuto in un recipiente, il livello del liquido nel capillare non raggiunge lo stesso livello del liquido nel recipiente, come succederebbe per un tubo di dimensioni maggiori, ma subisce un innalzamento anomalo, dovuto alla tensione superficiale. Se il liquido forma un menisco concavo, il livello del liquido subisce un innalzamento (fig. 10.1 A); se il menisco è convesso, il livello del liquido subisce un abbassamento (fig. 10.1 B). L'entità del dislivello è calcolabile mediante una legge (detta di Jurin-Borrelli), che stabilisce che il dislivello h è direttamente proporzionale alla tensione superficiale del liquido e inversamente proporzionale alla densità
del liquido e al raggio r del capillare:
dove g = 9,8 m/s2 è l'accelerazione di gravità. Il fenomeno, detto capillarità, si riscontra per esempio nelle spugne e nelle carte assorbenti e assume in natura particolare importanza nella salita della linfa lungo i fusti delle piante, che avviene contro la forza di gravità, e nella circolazione periferica del sangue.
Media correlati
Figura 10.1 Fenomeno della capillarità: in (A) il menisco è concavo e il livello del liquido si innalza; in (B) il menisco è convesso e il livello del liquido si abbassa.